Skip to content
Информационная панель ФНКЦ ДИПИнформационная панель ФНКЦ ДИП

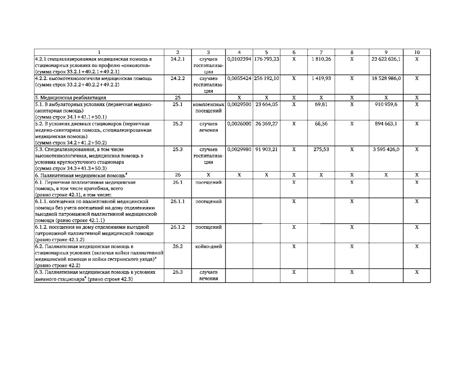
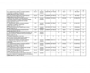
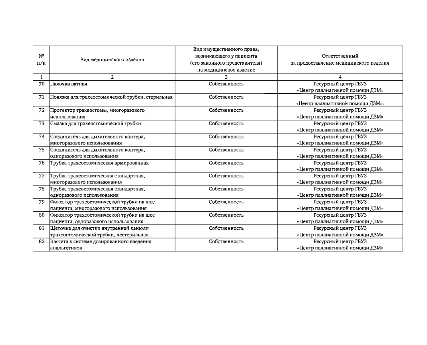
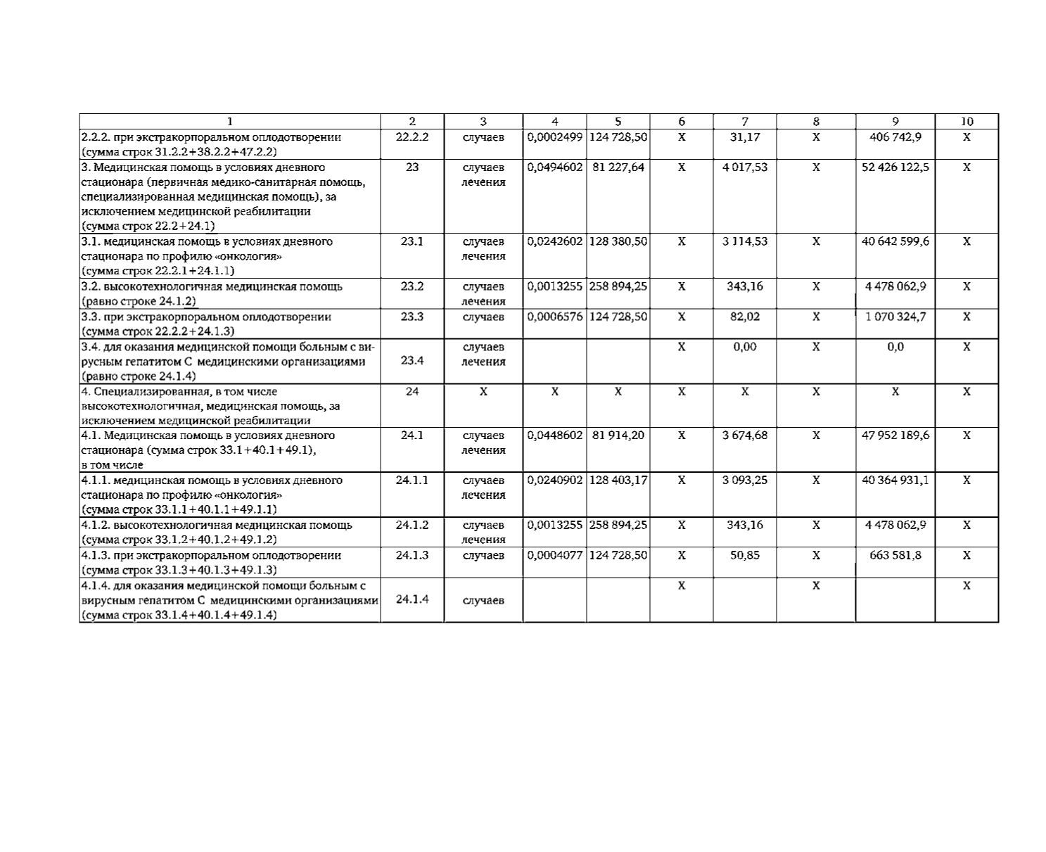
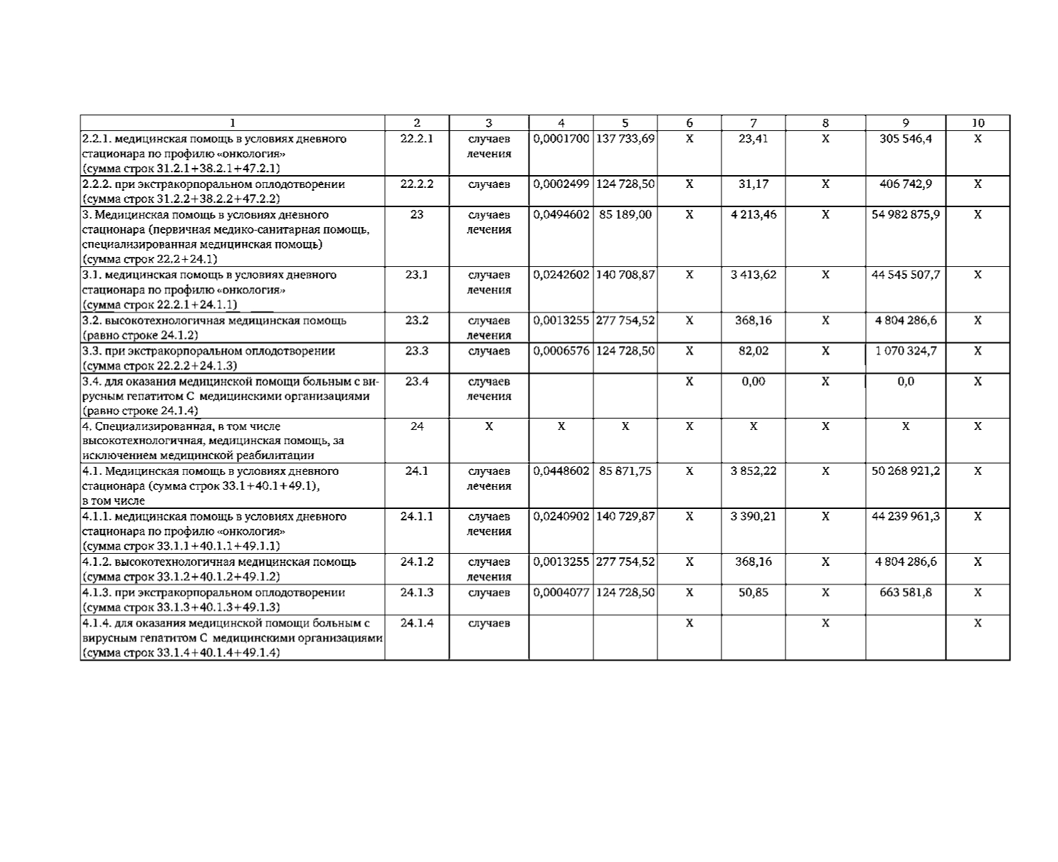
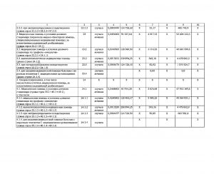
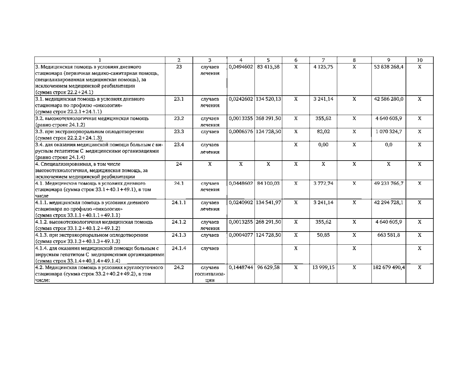
Приложение к постановлению Правительства Москвы от 28 декабря 2023 .г No 2691-ПП. Территориальная программа государственных гарантий бесплатного оказания гражданам медицинской помощи в городе Москве на 2024 год и на плановый период 2025 и 2026 годов

  • Assign a menu in Theme Options > Menus
  • WooCommerce not Found
  • Newsletter